機械密封的名義接觸面積和有效接觸面積
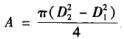
機械密封的名義接觸面積A:在機械密封裝置中較窄的密封端面外徑D2與內徑4D1之間的環形區域的面積,也稱為密封端面的面積,即與另一個密封端面的有效接觸面積。其表達式為
![]()
機械密封的有效作用面積A:指密封流體壓力作用在補償環上,使之對非補償環趨于閉合的有效作用面積。有效接觸面積么的計算式
對于內流式機械密封[圖1-3(a)、(b)、(c)]
圖1-3平衡類型

對于外流式機械密封[圖1-3(d)、(e)、(f)⑴]
式中D9為滑移直徑,也稱為平衡直徑,指的是流體壓力作用在補償環輔助密封圈處的軸(或軸套)的直徑。
H9B機械密封
本文源自http://www.car-camera.cn/news/523.html,轉載請注明出處。
(責任編輯:機械密封http://www.car-camera.cn)
上一篇:機械密封的密封面寬度 下一篇:機械密封的各參數示意圖
- 上一篇:機械密封的密封面寬度
- 下一篇:機械密封的各參數示意圖
機械密封熱門文章
機械密封文章推薦
最新資訊
- 2023-07-04· 機械密封的保養與維修方法
- 2023-06-30· 機械密封的保養與維修方法
- 2023-06-29· 機械密封的運行原理及其特點
- 2023-06-29· 機械密封的密封材料與密封性
- 2023-06-28· 機械密封的安裝及維護方法
- 2023-06-26· 機械密封的密封原理及其應用
聯系我們
浙江生產基地:浙江嘉善環城東路硅谷開發區(赤盾科技園)
嘉興銷售及技術支持中心:嘉興市環北西路經濟開發區
國內24小時銷售人員電話:15990310020
國內24小時技術支持:13917573091
電子郵件:1050760236@qq.com
jxchishidun@163.com
即時聊天工具:QQ: 1050760236
微信:15990310020
網址:www.car-camera.cn



